成果報告
2023年度
静寂を聴く―無音の音楽的美に関する神経美学研究―
- 関西大学文学部 教授
- 石津 智大
1.研究目的: 音楽の「無音(静寂)」に感じる美について心理特徴と脳内機構を解明する
「無」や「余白」は,重要な音楽的・芸術的表現方法である.能の謡と謡の間の沈黙のように,間や余白は豊かな感情と美的感性を観賞者に与えられる.一方で,情報を隙間なく詰め込み,情報伝達を効率化してきた現代情報化社会では,無音は物理的な聴覚情報の不在でしかない.ショートコンテンツや倍速視聴の広まりなど,余白や静寂は現実世界でも姿を消しつつある.聴こえない(無音の)対象に意味を見出すことは,不可知の他者のこころを慮る人間らしい精神の重要な一面にも繋がる.また,無音は物理的な情報入力がないためAIによる学習や代替が難しく,無の表現やその価値は人間性の重要な部分であるといえる.本研究では,ワグナーの『トリスタンとイゾルデ』にみられる無音部を使い,美しさを感じるのに最適な無音長を明らかにし(研究①行動実験),無音の美を感じているときの脳反応を調べることで(研究②脳波実験),無音の美の解明に挑戦した.
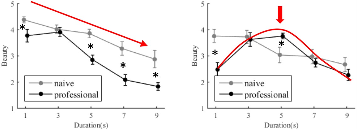
2.これまでに得られた結果と知見: 行動実験を完了し論文として投稿済み (Psychology of Arts, Creativity, and Aesthetics誌で査読中).行動実験では,トリスタンの無音部を1-9秒まで増減させた音源を用い,一般人と音楽プロ群に美の強度を回答させた.その結果,プロ群でのみ5秒をピークとするベルカーブになった(図1右).比較条件のブラームスでは無音が長くなるほど美が低下したことから,音楽学で主張されているトリスタンの無音の美が実際に感じられ,最適な無音長が5秒周辺である可能性が示された.
次に,最適な無音長で無音の美を感じている際の脳反応を脳波計により記録した(実験継続中).中途結果では,前半有音部の終止と無音開始後約5秒以降の時間帯に「顕在性ネットワーク」とよばれる脳内機構の活動がみられ,また後半有音の開始時にdefault mode network (DMN)とよばれる脳内機構の活動が認められた.顕在性ネットワークは,外界に注意を振り向ける際に働き,一方DMNは内省やリラックス状態に関係すると考えられる(図2参照).無音での美とテンションの受容が,後半有音の出現により解消されるという音楽的な認知を反映している可能性が考えられ,これまでの音楽学的議論に新たな知見を提供できた.
図1. 無音の審美評価の結果.各無音長(1-9秒)における一般人(灰色)とプロ群(黒)の審美スコア.(左)ブラームス楽曲,(右)ワグナー楽曲
図2. 無音美を感じている際の脳反応.β帯域に反応がみられる
3.今後の展開: 脳波実験を引き続き進めている.今後,後半の有音部の脳反応にも注目して解析する.参加者の感想から,「無音を聴いているときに美を感じる」ものと,「後半の音が聞こえ始めた時点から立ち返って無音部の美を感じる」もの,2種類ある可能性が示されている.無音の美の体験が「リアルタイム」に生じるのか,または「ポストディクティブ」(ある時点から振り返り体験が生成されること)に構築されるのか,脳反応から検討する.さらに,ワグナー楽曲以外にも,無音や余韻を受容させる音楽作品は多い.例えば,ジョン・ケージによる『4分33秒』は,無音の環境だからこそ感受可能になる微小な有音への気づきを促すと考えられている.異なる無音の種類を条件に含めることで,人間らしい「無」の産出と鑑賞について,発展的に研究を展開していく予定である.
以上,無音の美ついて有意義な研究をさせていただきサントリー文化財団に感謝申し上げます.
2024年9月




